이 글은 모공 관리에 대해 직접 경험하고 공부한 내용을 정리한 정보형 콘텐츠입니다. 특정 제품이나 시술을 강요하지 않으며, 개인 피부 상태에 따라 효과가 다를 수 있습니다.
솔직히 말할게요. 저 모공 때문에 진짜 스트레스 많이 받았어요.
화장하면 모공 속으로 파운데이션이 쏙쏙 들어가서 오히려 더 도드라져 보이고, 셀카 찍으면 제 얼굴만 모공이 다 보이는 거예요. 보정 앱 열어서 모공 지우는 게 일상이었죠.
모공팩도 미친 듯이 붙이고, 올리브영에서 모공 제품이라는 건 다 사봤어요. 유명한 세럼, 앰플, 크림… 근데 효과 본 건 손에 꼽을 정도예요.
그러다가 우연히 피부과 논문들을 읽어보면서 알게 됐어요. 왜 대부분의 모공 제품이 효과가 없는지. 그리고 진짜 효과 있는 성분이 뭔지도요.
오늘은 제가 직접 경험하고 공부한 내용을 솔직하게 공유해드릴게요.
피부 관련 정보는 개인차가 크므로, 이상 반응이 지속되거나 트러블이 심해질 경우에는 피부과 전문의 상담을 권장합니다. 이 글은 참고용 정보입니다.
모공은 유전적 요인, 피지 분비, 피부 탄력 등 다양한 요소가 복합적으로 작용합니다. 단순히 제품만 바른다고 해결되지 않는 이유가 있습니다.
모공이 넓어지는 진짜 이유 (이거 모르면 계속 헤맨다)
여러분 모공팩 많이 하시죠? 저도 그랬어요. 근데 모공팩 하고 나면 왜 또 금방 까매지는지 아세요?!
모공이 넓어지는 이유는 단순해요.
1. 피지 분비가 많아지면 모공이 넓어진다
생각해보세요. 수도꼭지에서 물이 많이 나오면 구멍이 넓어지는 것처럼, 피지가 많이 나오면 피지가 나오는 길(=모공)이 커져요.
10대 때는 피부가 깐달걀 같았던 이유? 피지 분비량이 적었으니까요. 근데 20대 되면서 스트레스, 화장, 수면 부족으로 피지가 폭발하면서 모공이 넓어지는 거예요.
2. 피부 탄력이 떨어지면 모공이 처진다
나이가 들수록 콜라겐이 줄어들면서 피부가 느슨해져요. 그러면 모공 주변을 지지할 힘이 없어져서 모공이 퍼지는 거예요.
오뎅 꼬치 생각해보세요. 탱탱한 오뎅은 꼬치 구멍이 작은데, 물렁해진 오뎅은 구멍이 커 보이잖아요. 피부도 똑같아요.
핵심 정리
모공 = 피지 분비량 + 피부 탄력
이 두 가지를 해결 못 하면 모공은 절대 안 줄어든다

왜 모공팩, 비싼 세럼 써도 소용없었을까
저도 모공팩 3년 동안 미친 듯이 붙였어요. 근데 모공만 더 벌어졌어요.
이유가 뭘까요?
모공 속 청소를 제대로 안 했으니까!!
모공팩은 표면만 뽑아내요. 모공 깊숙이 있는 피지랑 각질은 그대로 남아 있는 거예요.
썩은 이빨에 금니 씌우고 “아~ 깔끔하다” 하는 거랑 똑같아요. 근본적인 해결이 안 된 거죠.
모공 수축 제품의 함정
“멘톨 들어가서 시원해요!”, “알코올 성분으로 모공 조여줘요!”
이런 제품들 써보셨죠? 저도 써봤어요. 바르면 쪼이는 느낌은 있는데 몇 시간 지나면 다시 원래대로예요.
왜냐면 이건 증발하면서 쪼이는 느낌을 주는 거지, 진짜 모공을 줄이는 게 아니거든요.
오히려 피부 장벽만 망가뜨려서 더 악화돼요.
진짜 효과 본 성분은 따로 있다
논문 읽으면서 알게 된 거예요. 모공을 제대로 줄이려면 이 3가지가 무조건 들어가야 한다는 거요.
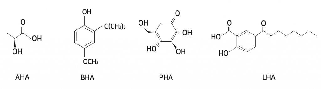
1. 4HA – 모공 속 청소부
4HA = AHA + BHA + PHA + LHA
각각의 역할이 달라요.
AHA (알파하이드록시산)
- 피부 표면 각질 제거
- 분자가 작아서 잘 침투함
- 역할: 모공 입구 청소
BHA (베타하이드록시산)
- 모공 속 피지 용해
- 기름과 잘 섞여서 깊숙이 들어감
- 역할: 모공 속 청소
제가 쓰는 제품에 BHA 들어있는데, 진짜 블랙헤드가 하나씩 빠지는 게 느껴졌어요. 신기했어요.
PHA (폴리하이드록시산)
- 민감성 완화
- 수분 공급하면서 진정
- 역할: 부작용 방지
LHA (리포하이드록시산)
- 가장 깊은 침투력
- 세포 재생 촉진
- 역할: 모공벽 강화
이 4가지가 조합되면 모공 입구부터 깊숙한 곳까지 싹 청소가 돼요. 꼭 해보세요 강추!!

2. 나이아신아마이드 – 피지 조절
이건 앞에서도 말씀드렸죠? 피지 분비를 최대 30% 줄여준대요.
저는 나이아신아마이드 제품 쓰고 나서 1주일 만에 피지 분비량이 확 줄어든 게 느껴졌어요. T존이 덜 번들거렸어요.
3. 안티세범P – 진짜 모공 축소
이게 진짜 핵심이에요.
일반 수축 성분들은 표면만 조여요. 몇 시간 후면 원점이죠.
근데 안티세범P는 모공 주변 근육 세포에 직접 신호를 보내서 지속적으로 축소시켜요.
이게 특허 성분이래요. 그래서 아무 제품에나 안 들어가 있어요.
효과 본 성분 정리
모공 청소: 4HA (AHA+BHA+PHA+LHA)
피지 조절: 나이아신아마이드
모공 축소: 안티세범P
아래 후기는 개인적인 경험에 기반한 내용이며, 모든 이에게 동일한 결과를 보장하지 않습니다. 피부 타입별로 차이가 있을 수 있습니다.
제가 직접 써본 후기
솔직하게 말씀드릴게요.
1주일차
- 피지 분비량이 확실히 줄어들었어요
- 아침에 일어났을 때 얼굴이 덜 번들거렸어요
- 코 주변 블랙헤드가 하나둘 빠지는 게 느껴졌어요
2주일차
- 거울 보는데 모공이 조금 작아진 것 같았어요 (확신은 안 섰지만)
- 화장이 들뜨지 않았어요
- 쿠션 덧바르는 횟수가 줄어들었어요
1개월차
- 친구가 “너 피부 뭐 했어? 좋아졌다”라고 말했어요
- 이때부터 확신했죠
- 셀카 찍을 때 모공이 덜 보였어요
3개월차
- 진짜 다른 사람 피부 같았어요
- 화장 안 하고도 자신 있게 나갈 수 있었어요
- 모공 때문에 스트레스받던 게 사라졌어요
효과적인 모공 관리를 위해서는 아래 성분들이 포함된 제품을 선택하는 것이 일반적으로 권장됩니다. 각 성분의 기능과 역할을 이해하는 것이 중요합니다.
모공 제품 고르는 법
올리브영 가면 모공 제품 천지잖아요. 근데 다 효과 있는 것 같죠?
제가 알려드릴게요.
꼭 확인해야 할 성분
필수 성분 체크리스트
- AHA 또는 BHA 들어있나? (최소 하나는 있어야 함)
- 나이아신아마이드 5% 이상!
- 안티세범P 또는 이와 유사한 모공 축소 성분!
이 3가지가 다 들어간 제품은 솔직히 많지 않아요.
피해야 할 성분
멘톨, 알코올, 캠퍼
이런 거 들어가면 바를 때는 시원하고 좋은데, 장기적으로 피부 장벽 망가뜨려요. 모공도 더 넓어지고요.
향료 과다
민감해진 피부에 자극만 줘요.
제가 찾은 제품 (솔직 후기)
논문 읽고, 성분표 분석하고, 직접 써보고…
시중에 나온 제품 중에서 위 조건을 다 만족하는 제품을 찾았어요.
근데 여기서 제품명을 공개하면 광고 같아 보일 것 같아서 말씀드리진 않을게요. 대신 고르는 기준은 확실히 알려드렸으니 여러분이 직접 찾아보세요.
힌트를 드리자면:
- 4HA 전부 들어간 제품
- 나이아신아마이드 5% 이상
- 안티세범P 함유
이 조건으로 검색하면 몇 개 안 나와요. 그중에서 리뷰 많고 성분 좋은 거 고르시면 돼요.
저는 한 달에 2만원대 제품 쓰는데, 3개월 쓰니까 6만원으로 효과 봤어요. 피부과 레이저 한 번 값도 안 되는 거죠.
함께 하면 좋은 관리법
제품만 바른다고 다가 아니에요. 이것도 같이 해야 효과가 배가 돼요.
1. 이중 세안 제대로 하기
오일 클렌저로 모공 속 피지까지 녹이고, 폼 클렌저로 마무리하세요. 이거 안 하면 아무리 좋은 제품 발라도 소용없어요.
2. 각질 제거는 주 1-2회만
매일 하면 피부 장벽 망가져요. 적당히 해야 해요.
3. 선크림은 필수
자외선이 콜라겐 파괴해서 모공 더 넓어져요. 실내에서도 발라야 해요.
4. 손으로 얼굴 안 만지기
습관적으로 턱 괴는 거, 코 만지는 거 다 세균 옮기는 거예요. 의식적으로 안 만지려고 노력하세요.
리얼 후기
저는 3개월 걸렸어요.
여러분은 더 빠를 수도, 조금 더 걸릴 수도 있어요.
괜찮아요. 꾸준히만 하면 분명 효과 있어요.
자주 묻는 질문
Q. 효과 언제 나타나요?
저는 1주일 후부터 조금씩 느꼈어요. 확실한 건 3-4주 후부터예요. 사진 찍어놓고 비교해보시는걸 추천 드립니다!
Q. 민감성 피부도 가능해요?
4HA 중에 PHA가 진정 역할을 해서 민감 피부도 괜찮아요. 다만 처음엔 저농도부터 시작하세요.
Q. 10대도 써도 되나요?
네, 가능해요. 오히려 10대 때 관리하면 20대 때 모공 걱정 없어요.
Q. 가격대는 어느 정도예요?
제가 쓰는 제품은 2-3만원대예요. 한 병에 2-3개월 가요. 한 달에 만원 정도?
Q. 피부과 레이저랑 비교하면?
레이저는 한 번에 20-30만원인데 3개월 후 원점이에요. 레이저 받아보신 분들은 아시겠지만 효과는 일시적이고 결국엔 꾸준한 관리가 답이라는걸 느끼셨을겁니다! 이 방법은 한 달에 만원으로 꾸준히 관리하는 거라 훨씬 경제적이에요.
마지막으로 모공에 걱정이 많으신분들에게 한마디 하자면!
모공 때문에 스트레스받으시는 분들, 진짜 많으시죠?
저도 거울 보기 싫어서 화장실 불 끄고 세수한 적도 있어요. 셀카는 무조건 보정하고, 친구들이랑 가까이 서는 게 무서웠어요.
근데 지금은 달라요.
화장 시간도 줄었고, 셀카도 보정 거의 안 해요. 사람들 만나는 게 즐거워졌어요.
비싼 제품 쓸 필요 없어요. 피부과 갈 필요도 없어요.
제대로 된 성분이 들어간 제품을 꾸준히 쓰면 돼요.
오늘 제가 알려드린 성분 (4HA, 나이아신아마이드, 안티세범P) 기억하시고, 제품 고를 때 성분표 꼭 확인하세요!
화장품은 성분이 중요한거 알고 계시죠??!
저 믿고 2주만 제대로 해보세요. 거울 보면 분명 달라져 있을 거예요. 다만, 평상시에 맨손으로 얼굴 만지는것만 피하시고 제가 말한 루틴대로만 하신다면 딱 2주안에 효과 많이 보실거라 장담합니다 ㅎㅎ
저도 할 수 있었으니까 여러분은 더 잘 할 수 있어요!
태어나서 죽을때까지 뷰티는 필수에요 아시죠?! 다들 피부가 좋아지는 그날까지 화이팅!!
관련 글 더보기
새 글 알림 받기
새로운 뷰티 정보를 이메일로 받아보세요!